By Aidan J. Buffey, Matthew P. Herring, Christina K. Langley, Alan E. Donnelly, and Brian P. Carson
- This meta-analysis of 7 acute studies found intermittent short breaks of standing led to a significant reduction in postprandial glucose compared to prolonged sitting.
- Light-intensity walking was found to be a superior intervention compared to standing and prolonged sitting.
- The effects of breaking prolonged sitting were more pronounced in overweight individuals compared to individuals with obesity, suggesting an additional metabolic compromise in individuals with obesity.
Sedentary behavior (SB) such as prolonged sitting is likely to be highly habitual and is associated with poor health outcomes. SB is defined as any waking behavior expending ≤ 1.5 metabolic equivalent tasks (METs) whilst seated, lying, or in a reclined posture. Cross-sectional studies indicate that total time spent sedentary, independent of exercise, has been detrimentally associated with several biomarkers. In individuals with known risk factors for type 2 diabetes mellitus, total sedentary time, after adjustment for moderate to vigorous physical activity (MVPA) and other covariates, was negatively associated with 2-h glucose, triacylglycerol, and high-density lipoprotein (HDL) cholesterol. The indication that sedentary time is independently associated with cardiometabolic health has brought a shift in research paradigms toward identifying feasible interventions to break bouts of prolonged sitting.
Any interruption to prolonged sitting can be referred to as a sedentary break. A seminal study found a beneficial association between the frequency of interruptions to an individual’s sedentary time with metabolic health markers such as 2-h plasma glucose, triglycerides and measures of adiposity. More recently, an average of 10 additional sedentary breaks per day was shown to be beneficially associated with systolic blood pressure (SBP), HDL cholesterol, insulin, glucose, triglycerides, and waist circumference. The associations reported were independent of total sedentary time, MVPA, and mean intensity of the sedentary breaks. These findings support the hypothesis that the pattern in which sedentary time is accrued may be as important as total amount of sedentary time. This had led to the promotion of standing as a sedentary break and growing research utilizing standing interventions, as the act of standing is feasible for most individuals and environments.

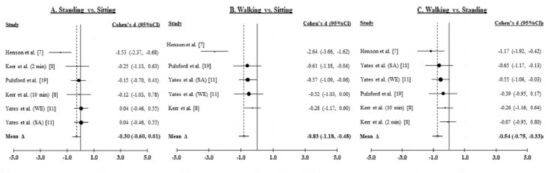
Figure 1. Forest plots from the postprandial glucose meta-analysis. A) Intermittent standing breaks compared to prolonged sitting (glucose). B) Intermittent walking breaks compared to prolonged sitting (glucose). C) Intermittent walking breaks compared to intermittent standing breaks (glucose). WE, White European; SA, South Asian; min, minutes.
Currently, the literature is unclear on the effects of brief postural changes, specifically the transition from sitting to standing and whether the transition is a sufficient stimulus to elicit metabolic and or vascular benefits. Previous studies have broken prolonged sitting with different modalities of physical activity (PA), largely without addressing the postural change, with researchers concluding that the extent of improvements during walking on glucose metabolism is unclear due to postural changes and increases in energy expenditure. The act of standing not only achieves a change in posture, but also involves the contraction of the postural skeletal muscles and induces compensatory changes in blood pressure, heart rate, and vascular tone. Therefore, short bouts of standing have been shown to elicit similar changes as light-intensity walking, that break prolonged sitting, which may both be more feasible than MVPA and could offer an alternative approach to improve health and is worthy of investigation.
Rationale and Aims
A recent systematic review and meta-analysis compared the effects of breaking up prolonged sitting with different PA modalities in comparison to continued sitting. However, this review excluded studies that broke continued sitting with standing. Two earlier systematic reviews with meta-analyses have investigated intermittent standing breaks compared to prolonged sitting. One review pooled 2 studies and showed no effect on glucose of intermittent standing compared to prolonged sitting, and were unable to investigate insulin within their meta-analysis due to data only being available from 1 of the included studies. The second systematic review pooled 5 studies (glucose) and 4 studies (insulin) but found no effect on glucose or insulin response when comparing intermittent standing with prolonged sitting. Neither of these studies compared intermittent standing breaks with light-intensity walking breaks.
Therefore, the purpose of this study was to systematically review acute (1-day) experimental studies of controlled trials that compared uninterrupted sitting with conditions that fractionated prolonged sitting with frequent bouts of standing and light-intensity walking throughout a monitored day. The aim was to provide a foundation of evidence on the prescription of standing and light-intensity walking to break prolonged sitting to elicit benefits for markers of cardiometabolic health. Where data were available, a meta-analysis and meta-regression were conducted to estimate the population mean effect for standing versus sitting, walking versus sitting, and walking versus standing, and to explore sources of variability (i.e., participant and trial characteristics) in the mean effect.
Objectives: This systematic review aimed to compare the effects of fractionating prolonged sitting with frequent short bouts of standing and light-intensity walking on cardiometabolic health markers and conduct a meta-analysis for differences in systolic blood pressure (SBP), postprandial glucose, and insulin.
Methods

Figure 2. Forest plots from the postprandial insulin meta-analysis. A) Intermittent standing breaks compared to prolonged sitting (insulin). B) Intermittent walking breaks compared to prolonged sitting (insulin). C) Intermittent walking breaks compared to intermittent standing breaks (insulin). WE, White European; SA, South Asian; min, minutes.
Experimental randomized crossover trials with at least 3 intervention arms that assessed interrupting sitting with frequent short bouts of standing and light-intensity walking over a single day compared to a prolonged sitting condition were retrieved. These studies measured at minimum one marker of cardiometabolic health in adults > 18 years. An electronic search was completed on August 2, 2021, searching PubMed and Web of Science Core Collection, Scopus, Embase, Cochrane Library and APA PsycINFO. Risk of bias was assessed using a modified Downs and Black checklist. A meta-analysis was conducted using calculated Cohen’s d quantifying the magnitude of difference between experimental conditions.
Results
Seven studies met the inclusion criteria for the systematic review. All 7 studies were included within the meta-analysis for postprandial glucose, 4 studies were pooled for postprandial insulin and 3 for SBP. Biomarkers of cardiometabolic health were discussed qualitatively if fewer than 3 studies measured and reported the variable. A meta-analysis of 7 acute, 1-day randomized crossover trials that sampled mixed-sex adults (aged > 18 years) who were predominately overweight or participants with obesity found that standing as an interruption to prolonged sitting significantly reduced postprandial glucose (Δ = –0.31, 95% CI –0.60, –0.03; z = –2.15, P < 0.04; Figure 1A) but had no significant effect on insulin or SBP. Light-intensity walking was shown to significantly attenuate postprandial glucose (Δ = –0.72, 95% CI –1.03, –0.41; z = –4.57, P < 0.001; Figure 1B) and insulin (Δ = –0.83, 95% CI –1.18, –0.48; z = –4.66, P < 0.001; Figure 2B) compared to continued sitting. When comparing light-intensity walking breaks compared to standing breaks a significant reduction in glucose (Δ = –0.30, 95% CI –0.52, –0.08; z = –2.64, P < 0.009; Figure 1C) and insulin (Δ = –0.54, 95% CI –0.75, –0.33; z = –4.98, P < 0.001; Figure 2C) was observed. Both standing and light-intensity walking showed no effect on SBP (Figure 3).
Discussion

Figure 3. Forest plots from the postprandial systolic blood pressure (SBP) meta-analysis. A) Intermittent standing breaks compared to prolonged sitting (SBP). B) Intermittent walking breaks compared to prolonged sitting (SBP). C) Intermittent walking breaks compared to intermittent standing breaks (SBP). WE, White European; SA, South Asian; min, minutes.
This review and meta-analysis examined experimental studies that interrupted individuals’ sitting time in an acute laboratory setting with frequent short bouts of standing and light-intensity walking, measuring the effects on cardiometabolic health markers. The meta-analytical component of this review found both standing and light-intensity walking improve postprandial glucose metabolism compared to prolonged sitting. This is a novel finding as, previously, standing had not been shown to be beneficial as a form of PA break for glucose metabolism in earlier meta-analyses. However, the analysis found light-intensity walking elicited a significantly greater attenuation in postprandial glucose compared to prolonged sitting and standing breaks, which supports the findings of previous studies. Light-intensity walking was also shown to significantly improve postprandial insulin compared to prolonged sitting and standing breaks, but intermittent standing bouts showed no significant effect on postprandial insulin compared to prolonged sitting within this meta-analysis. Therefore, this synthesized evidence suggests that breaking up prolonged sitting with light-intensity walking is a superior intervention to breaking sitting with periods of standing but that short bouts of standing can elicit an improvement in postprandial glucose as a sedentary break to prolonged sitting.
Metabolic Biomarkers
The pooled effects showed a positive effect on glucose metabolism in response to a meal when standing was compared with the sitting condition. However, this effect was small and heterogeneous and was not explained by any of the included moderating variables. Due to the small number of included studies, differences in outcome variables measured, and descriptive information reported, not all possible moderating factors (< 3 effects) could be included (i.e., fasting glucose). The included studies varied the prescribed break duration and frequency, which means the total time displaced from sitting to standing differed between the studies, which may plausibly explain some of the heterogeneity. When sitting was interrupted by walking, a greater, moderate effect was observed for glucose metabolism. Furthermore, walking had a small positive effect on glucose metabolism in comparison to standing breaks. This effect was moderated by sex and body mass index (BMI), with significantly larger improvements in postprandial glucose being associated with mixed-sex samples compared to studies which included females only.
Regarding BMI, individuals who were classified as overweight showed significantly larger improvements in postprandial glucose when completing light-intensity walking as a sedentary break compared to individuals with obesity. This may suggest further compromised metabolism in individuals with obesity compared to overweight individuals. The 2 studies that sampled female only participants also had the highest mean BMI of the included studies falling within the obesity range. One study sampled postmenopausal women who were screened as dysglycemic and the second study included participants with impaired glucose regulation and signs of insulin resistance. These 2 included studies sampled participants with the highest recorded fasting glucose values, BMI, and waist circumference measurements compared to the other included studies that provided this descriptive information. Previously, insulin sensitivity has been shown to differ by sex. Typically, females exhibit lower skeletal muscle mass and increased adipose tissue, which may contribute to an increase in insulin resistance. Insulin resistance has previously been associated with BMI at any grade of weight gain; however, differences in body fat distribution can cause variations in insulin sensitivity. BMI estimates general adiposity, however, and does not differentiate between peripheral or central adiposity, which has been shown to be a contributing risk factor to insulin resistance. Due to the small number of studies and the descriptive variables provided, the study was unable to include waist circumference as a moderating variable, which may have provided a better indication of central adiposity and visceral adipose tissue. Therefore, the researchers speculate that these effects may be influenced by impaired metabolism related to poor body composition in these female-only studies involving participants who present with obesity, resulting in less favorable positive metabolic benefits when performing intermittent light-intensity walking.
These findings suggest that standing breaks have a small beneficial effect compared to prolonged sitting on glucose metabolism, but walking breaks represent a superior intervention. The mean reduction of postprandial glucose across the 7 included studies when completing intermittent standing breaks compared to prolonged sitting was –9.51% ± 13.95 (ranging from a –33.96% decrease to a 4.29% increase), whereas light-intensity walking was shown to reduce postprandial glucose by –17.01% ± 15.42 (ranging from –55.64 to –3.28%) when compared to prolonged sitting. This is unsurprising; however, this meta-analysis is the first to report a statistically significant mean improvement in postprandial glucose response when interrupting prolonged sitting with standing. Two previous meta-analyses investigated standing as a sedentary break compared to prolonged sitting and found no significant difference in postprandial glucose. Both previous meta-analyses suggested that standing may not be a sufficient stimulus in the improvement of postprandial glucose.
Walking was investigated recently in a large meta-analysis that compared interrupting prolonged sitting with a multitude of intermittent physical ‘activities.’ This meta-analysis excluded studies that interrupted prolonged sitting with standing; however, they grouped light to moderate intensity walking, jogging, and cycling within their analysis. They reported moderate effect sizes (standardized mean difference [SMD]) and statistically significant reductions in glucose (SMD = –0.54, 95% CI –0.70, –0.37, P < 0.001) when compared to prolonged sitting. These findings are similar to those presented here, although with smaller effect sizes.
Standing as a sedentary break showed no significant effect on postprandial insulin compared to prolonged sitting (P < 0.06). The number of included studies that measured postprandial insulin (n = 4) was lower compared to the number that measured postprandial glucose (n = 7), and perhaps with an increased number of studies or larger sample size we may have seen an effect on postprandial insulin. Light-intensity walking showed a moderate, statistically significant improvement when compared to continued sitting and standing breaks on postprandial insulin. This reiterates the previous finding related to glucose metabolism, that light-intensity walking provides a superior stimulus compared to interrupting prolonged sitting with standing, which fails to elicit an attenuation in postprandial insulin. Taken together, an attenuation in both postprandial glucose and insulin is suggestive of an increase in insulin sensitivity and decreased insulin secretion, which has been associated with preservation of pancreatic beta-cell function. This finding strengthens previous research that has shown breaking prolonged sitting with light to moderate PA reduces postprandial insulin concentrations.
As for cardiovascular health, standing and light-intensity walking both showed no significant difference in SBP when compared to prolonged sitting and there was no difference in SBP between interventions.
Three studies measured postprandial triglyceride response, none observing a reduction in triglyceride response, potentially due to a time-delayed response to the effects of PA breaks.
Implications and Future Directions
The findings of this systematic review have implications for the grouping of heterogeneous activities under the term ‘light-intensity physical activities’ (LIPA). Light-intensity walking was shown to significantly reduce postprandial glucose and insulin compared to prolonged sitting and equal durations of intermittent standing. It has formerly been recognized that prolonged sitting reduces the contractile activity of skeletal muscle. Previously, the acute increase in glucose uptake was shown to be preferentially regulated by the contraction-mediated pathway in place of the insulin-dependent pathway in a recent study investigating interrupting sedentary time with light-intensity walking. This suggests the acute benefits on postprandial glucose and insulin are more pronounced during intermittent light-intensity walking breaks than standing via the contraction-mediated pathway, due to the greater intensity and frequency of concentric and eccentric muscular activity. The increase in muscular contractions and increased glucose uptake via the insulin-independent pathway acutely reduce insulin secretion in the maintenance of glucose homeostasis.
On average, the majority of the included studies interrupted their participants’ simulated sedentary behavior for ~ 28 min; this can also be seen as an increase in LIPA. Previously Jefferis and colleagues found that a daily increase of 30 minutes of LIPA was associated with a 17% attenuation in mortality following adjustment for sedentary time and MVPA. If intermittent sedentary breaks of standing or light-intensity walking were implemented in an individual’s daily life or workplace environment, individuals would be able to reduce the duration of their sedentary bouts and total sedentary time in addition to increasing daily total LIPA. This may be more feasible and translatable than asking the public to complete structured exercise sessions or the attainment of MVPA.
The pooled meta-analysis of participants who were largely sedentary and classified as overweight, according to their BMI, showed a significant improvement in postprandial glucose when fractionating prolonged sitting with intermittent standing. This is an important novel finding that supports the positive impact of standing on metabolic health. The meta-analysis also showed greater improvements in postprandial glucose and insulin when performing light-intensity walking compared to prolonged sitting and intermittent standing. This has implications for individuals attempting to achieve long-term glycemic control and the management of postprandial spikes in blood glucose.
Conclusion
Intermittent short bouts of standing compared to prolonged sitting significantly reduced postprandial glucose in an acute 1-day setting but showed no significant effect on postprandial insulin and SBP. Light-intensity walking showed a greater attenuation of glucose and insulin compared to standing interruptions and prolonged sitting. We would, therefore, recommend light-intensity walking for clinically meaningful reductions in postprandial glucose and insulin when compared to prolonged sitting. Future research should implement sedentary breaks in a free-living setting such as the workplace environment, testing the feasibility of sedentary breaks and investigating the long-term health implications.
This article has been excerpted from “The Acute Effects of Interrupting Prolonged Sitting Time in Adults with Standing and Light‑Intensity Walking on Biomarkers of Cardiometabolic Health in Adults: A Systematic Review and Meta‑analysis” by the same authors, which originally appeared in Sports Med. 2022 Aug;52(8):1765-1787. doi: 10.1007/s40279-022-01649-4. Editing and summarization has occurred, including the renumbering of tables, and references have been removed for brevity. Use is per CC BY.







