Nowhere are the effects of aging on gait mechanics and neuromuscular control more apparent than on the stairs, an all-too-common site of fall-related injuries in older adults. Prevention starts with understanding the unique demands of stair ascent and descent.
By Alison C. Novak, MSc, Samantha M. Reid, MSc, Patrick A. Costigan, PhD, and Brenda Brouwer, PhD
Independent mobility involves navigating over changing terrain, obstacle avoidance, frequent modulation of speed and direction and stair negotiation. Each task imposes different biomechanical and neuromuscular system demands and the ability to meet them is related to functional capacity or peak system performance. As individuals age, mobility and strength decline, reducing biomechanical and neuromuscular system capacities, respectively; this results in altered or adapted movement patterns during ambulatory tasks.1 For more functionally demanding tasks, the implications of decreased capacity can be significant, particularly if community access and independence are affected.
Older adults have identified stair negotiation as one of the most difficult tasks attributable to aging and is one of the leading causes of fall related injuries.2-4 In a sample of 310 nondisabled older adults, more than 45% reported difficulties in climbing stairs, and about 30% reported difficulties in stair descent.5 If physical disability is superimposed on normal aging, the ability to negotiate stairs safely could be seriously compromised, which in turn could be a critical factor in the loss of independence in older adults.6 Understanding the normal, age-related alterations in movement control is important to provide a benchmark against which rehabilitation professionals working with a wide range of people with physical limitations can gauge mobility.
Gait cycle of stair ascent and descent
During stair negotiation, as during walking, the legs move in a cyclical pattern. The cycle for both ascent and descent is divided into two distinct phases: the stance phase and the swing phase (Figure 1).7,8 In ascent, the stance phase has three sub-phases: weight acceptance (shifting the body into an optimal position to be pulled up); pull-up (progression to full support on the next step); and forward continuance (ascent of a step has been completed and progression continues). The swing phase is subdivided into two sub-phases: foot clearance (the leg is raised to clear of the intermediate step); and foot placement (the swing leg is positioned for foot placement on the next step) (Figure 1a).
The stance phase of descent is divided into three sub-phases: weight acceptance; forward continuance (the start of single limb support and forward body movement); and controlled lowering (the body’s mass is lowered onto the support limb).8 The swing phase has two sub-phases: leg pull through (the swing limb is pulled forward); and foot placement8 (Figure 1b). During step over step ascent and descent, brief periods of double support occur at the transition periods as one limb moves into swing and the other into stance.
The kinematics of stair negotiation
As with walking, the greatest range of motion (ROM) required at lower limb joints occurs in the plane of progression (sagittal).7,9-12 The ROM associated with stair negotiation, however, is greater than that associated with level walking and particularly so during ascent compared to descent. In general, upwards of 10° to 20° of additional mobility is needed at each lower limb joint (Table 1) compared to walking.10,13 It follows that limitations in joint ROM may impact the ability to go up and down stairs, even if they do not manifest any detrimental effect on walking.
The angular motion required in the frontal plane (abduction/adduction) is about 15° at the ankle and less than 10° at the knee and hip joints.9,10,14 However, when the amount of flexion and extension is limited, step clearance is often achieved by exaggerated hip abduction to swing the leg around the side.15 For example, joint stiffness associated with osteoarthritis can restrict knee flexion, which if not compensated by hip abduction would increase the risk of tripping during stair negotiation, which in turn could make stairs a barrier to mobility.
Researchers15 have also reported that healthy, older adults show reduced sagittal plane ankle and knee movement compared to young adults when descending stairs, accompanied by increased hip and pelvis motion in the frontal plane. When climbing stairs, age-related reductions in ankle dorsiflexion could result in a trip if the toes fail to clear the step.16 There is ample evidence that reduced joint mobility poses risks for stair negotiation,2 but the compensatory strategies adopted to enable stair ascent and descent also can introduce safety concerns. Excessive motion in the frontal plane can cause significant shifts in the location of the body’s centre of mass relative to the small base of support.15 This requires adequate control and muscle strength of the lower limb muscles (particularly the abductor muscles) to maintain stability, which is known to decline with increasing age17 and is likely to adversely affect the ability to safely ascend and descend stairs.15
The kinetics of stair negotiation
Internal moments of force are generated to counter the external forces acting on the body throughout locomotion and represent the net effect of all agonist and antagonist muscle activity. As such, the investigation of muscle moments provides insight into the motor control strategies used during stair negotiation that cause the observed movement patterns. Stair descent requires largely eccentric muscle contractions to control the lowering of the body, whereas concentric contractions of lower limb muscles predominate during stair ascent to lift the body’s mass against gravity.8,9,18 During the stance phases of ascent and descent, much of the work is done by the knee and ankle extensors (in the sagittal plane), while the hip abductors (frontal plane) serve to control lateral movement of the trunk and pelvis.10,18,19 It is important to note, however, that the staircase dimensions (rise and run) will affect the task demands including the degree of muscle activation required. During stair ascent, studies in healthy young and middle aged adults have indicated that knee extensor moments are approximately 12% to 25% greater than those generated during of level walking, corresponding to peak values ranging from 0.76 Nm/kg to 1.50 Nm/kg during ascent.7-10 The higher demands of stair negotiation therefore requires greater knee extensor strength than walking, which can lead to fatigue and instability if the additional muscle force required begins to approach the maximum strength available.12,20
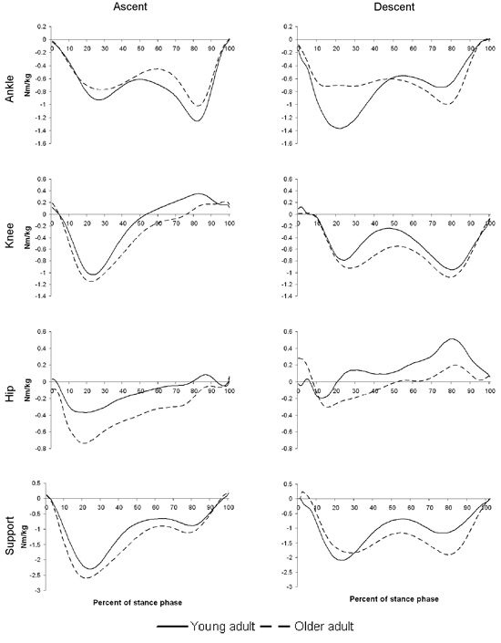
At the ankle, a plantar flexion moment predominates reaching a maximum magnitude during late stance as the body is raised upward and forward to complete the rise onto the step.8,18 During stair descent, a plantar flexion moment of similar magnitude (1.1 Nm/kg to 1.4 Nm/kg) is also generated, but eccentrically during weight acceptance.8,12,18 In stair climbing as with walking, the plantar flexors are a main contributor to the work of the task,7,18 providing a substantial contribution to maintain upright support (Figure 2). This contrasts with the knee extensors, which do not play a dominant role in walking but do during both stair ascent and stair descent.10,14 Consequently, clinicians must be aware of the increased knee extensor moment that is required to successfully ascend and descend stairs. The hip extensors are also important in early stance during ascent, generating about 50% more output than during level walking.9 It is noteworthy that the demands on the hip muscles can be quite variable in response to even small alterations in trunk position.8,18 For example, antero-posterior shifts in trunk position during ascent or descent would require compensating extensor or flexor hip moments to maintain dynamic stability of the combined mass of head, arms and trunk over the base of support,21 a challenging prospect in the presence of instability and muscle weakness.
Beyond 50 years of age, muscle strength declines at a rate of about 10% per decade.17 In terms of mobility, the impact would likely be negligible for many years with respect to walking because the strength requirements to accomplish the task are quite low relative to the force-generating capacity of the muscles. However, as suggested previously, the same may not be the case with stair negotiation. Reeves et al22,23 reported that healthy, older adults adopted alternate kinetic strategies at the ankle and knee relative to their younger counterparts as a means of recalibrating muscle workloads to within their comfortable limits while still meeting the demands of stair ascent and descent.
During stair ascent, older adults showed reduced ankle plantar flexor moments compared to young adults (1.24±.21 Nm/kg and 1.48±.27 Nm/kg, respectively).23 Similarly, older adults demonstrated lower magnitude knee extensor moments than young adults (0.89±22 Nm/kg and 1.19±.24 Nm/kg, respectively). This is notable considering that there was no significant difference in cadence between older and young adults, suggesting the likelihood that the hip extensors contribute to performing the work of the task to a greater extent in older than younger adults. The hip moments, however were not measured.

Figure 2. Examplar sagittal plane joint moment profiles for a young (solid line) and older subject (dashed line) during stair ascent and descent. All curves are normalized to 100% of the stance phase. Positive values represent internal flexion moments.
Relative to the maximum strength capacity, both young and older adults worked at about 90% of their plantar flexor limit, whereas older adults operated a higher level of knee extensor output (75%) than young adults (53%). These data suggest that older adults require a greater intensity of effort, leaving less reserve muscle strength capacity, which may compromise their comfort and perceived stability during stair negotiation.
The pattern was similar for stair descent. Older adults generated lower peak ankle plantar flexor moments than young adults (1.03 Nm/kg and 1.32 Nm/kg, respectively), a strategy enabling older adults to operate at a similar relative proportion of their maximum capacity compared to young adults (about 75%). In contrast, older adults generated knee extensor moments of a similar magnitude as those of young adults (0.83 Nm/kg and 0.91 Nm/kg, respectively) such that they performed at a higher proportion of their maximal capacity (42%) than their younger counterparts (30%). The authors concluded that older adults redistribute the relative extensor moment outputs at the knee and ankle joints (they did not study the hip) as a strategy to keep the costs within their physical capabilities and safe limits.22
Data collected in our laboratory19 have added to previous work by demonstrating that older adults (mean age: 67.0 years) adopt movement strategies that provide a greater extensor support moment (sum of ankle, knee and hip moments) during the transition phases of stair ascent and during controlled lowering in descent than young adults (mean age: 23.6 years). Figure 2 illustrates representative joint moment profiles from a young adult and an older adult, showing age-related differences in the relative contribution associated with each joint to produce a similarly shaped support moment. These patterns are characteristic of the two age groups, revealing a selective redistribution of force generation from the ankle plantar flexors to the knee and hip extensors during stair ascent in older adults. In descent, the knee extensors contribute primarily to the net support.
As others have noted, it may be that the strategies adopted by older adults serve to enhance stability while accommodating declines in muscle strength.22,23 In the frontal plane, mediolateral stability has been shown to be a significant principal component discriminating young and older adults during stair climbing.24 Our own data confirm that older adults demonstrate significantly greater reliance on the hip abductors to control the lateral excursion of the pelvis,19 which can help ensure appropriate positioning of the contralateral limb and facilitate step clearance. It is not known whether these normal, age-related adjustments in joint kinetics result in increased energy costs associated with stair negotiation, but this is an important consideration for mobility independence.
Summary
The biomechanical and neuromuscular demands of stair ascent and descent are significantly greater than during level ground walking. Consequently, adaptations during stair negotiation frequently occur in association with normal aging as strength and joint mobility decline. These adaptations are important in order to successfully accomplish the task within the safe limits of their physical capabilities. It is also the case that interventions directed at maintaining lower limb strength and joint range of motion may reduce the need for or the extent of adaptive behaviours. From the literature we know that the knee and hip extensors and hip abductors are major muscle groups involved in successful stair negotiation, so strengthening these muscle groups may help to maintain independent and safe stair mobility, although research is required to confirm if this is the case.
For rehabilitation professionals, it is important to appreciate the nature and extent of adaptations during stair negotiation as a natural progression with aging in order to be able to identify unique alterations in kinematic or kinematic patterns due to the superimposition of physical impairments or physical disability. It is reasonable to expect that in clinical populations, the capacity to redistribute the generation of the forces required to accomplish the task of stair negotiation may be compromised. However, knowledge about what the normative requirements are can provide a useful starting point upon which to base targeted interventions.
Alison C. Novak, MSc, is a doctoral candidate in the School of Rehabilitation Therapy at Queen’s University in Kingston, Ontario, Canada. Samantha M. Reid, MSc, is a doctoral candidate and Patrick A. Costigan, PhD, is an associate professor in the School of Kinesiology and Health Studies, and Brenda Brouwer, PhD, is a professor in the Schools of Rehabilitation Therapy and Kinesiology and Health Studies at the same university.
Acknowledgements: The authors acknowledge funding support from the National Sciences and Engineering Research Council PGS Doctoral Award and the Ontario Graduate Scholarship Award.
References
1. DeVita P, Hortobagyi T. Age causes a redistribution of joint torques and powers during gait. J Appl Phys 2000;88(5):1804-1811.
2. Startzell JK, Owens DA, Mulfinger LM, Cavanagh PR. Stair negotiation in older people: a review. J Am Geriatr Soc 2000;48(5):567-580.
3. Williamson JD, Fried LP. Characterization of older adults who attribute functional decrements to “old age”. J Am Geriatr Soc 1996;44(12):1429-1434.
4. Nevitt MC, Cummings SR, Hudes ES. Risk factors for injurious falls: a prospective study. J Gerontol 1991;46(5):M164-M170.
5. Verghese J, Wang C, Xue X, Holtzer R. Self-reported difficulty in climbing up or down stairs in nondisabled elderly. Arch Phys Med Rehabil 2008;89(1):100-104.
6. Guralnik JM, Simonsick EM, Ferrucci L, et al. A short physical performance battery assessing lower extremity function: association with self-reported disability and prediction of mortality and nursing home admission. J Gerontol 1994;49(2):M85-M94.
7. Andriacchi TP, Andersson GB, Fermier RW, et al. A study of lower-limb mechanics during stair climbing. J Bone Joint Surg Am 1980;62(5):749-757.
8. McFadyen BJ, Winter DA. An integrated biomechanical analysis of normal stair ascent and descent. J Biomech 1988;21(9):733-744.
9. Costigan PA, Deluzio KJ, Wyss UP. Knee and hip kinetics during normal stair climbing. Gait Posture 2002;16(1):31-37.
10. Nadeau S, McFadyen BJ, Malouin F. Frontal and sagittal plane analyses of the stair climbing task in healthy adults aged over 40 years: what are the challenges compared to level walking? Clin Biomech 2003;18(10):950-959.
11. Olney SJ. Gait. In: Levangie PK, Norkin CC, eds. Joint structure and function: a comprehensive analysis. 4th ed. Philadelphia: F.A. Davis Company; 2005:517-568.
12. Riener R, Rabuffetti M, Frigo C. Stair ascent and descent at different inclinations. Gait Posture 2002;15(1):32-44.
13. Andriacchi TP, Galante JO, Fermier RW. The influence of total knee-replacement design on walking and stair-climbing. J Bone Joint Surg Am 1982;64(9):1328-1335.
14. Reid SM, Lynn SK, Musselman RP, Costigan PA. Knee biomechanics of alternate stair ambulation patterns. Med Sci Sports Exerc 2007;39(11):2005-2011.
15. Mian OS, Thom JM, Narici MV, Baltzopoulos V. Kinematics of stair descent in young and older adults and the impact of exercise training. Gait Posture 2007;25(1):9-17.
16. Benedetti MG, Berti L, Maselli S, et al. How do the elderly negotiate a step? A biomechanical assessment. Clin Biomech 2007;22(5):567-573.
17. Brouwer B, Olney SJ. Aging skeletal muscle and the impact of resistance exercise. Physiother Can 2004;56(2):80-87.
18. Protopapadaki A, Drechsler WI, Cramp MC, et al. Hip, knee, ankle kinematics and kinetics during stair ascent and descent in healthy young individuals. Clin Biomech 2007;22(2):203-210.
19. Novak AC, Brouwer B. Sagittal and frontal plane joint moment profiles associated with stair ascent and descent in young and older adults. Presented at the 16th Biennial Conference for the Canadian Society of Biomechanics, Kingston, Ontario, June 2010.
20. Spanjaard M, Reeves ND, van Dieen JH, et al. Lower-limb biomechanics during stair descent: influence of step-height and body mass. J Exp Biol 2008;211(Pt 9):1368-1375.
21. Winter DA. Human balance and posture control during standing and walking. Gait Posture 1995;3(4):193-214.
22. Reeves ND, Spanjaard M, Mohagheghi AA, et al. The demands of stair descent relative to maximum capacities in elderly and young adults. J Electromyogr Kinesiol 2008;18(2):218-227.
23. Reeves ND, Spanjaard M, Mohagheghi AA, et al. Older adults employ alternative strategies to operate within their maximum capabilities when ascending stairs. J Electromyogr Kinesiol 2009;19(2):e57-e68.
24. Reid SM, Graham RB, Costigan PA. Differentiation of young and older adult stair climbing gait using principal component analysis. Gait Posture 2010;31(2):197-203.









This superb article brings to researchers and practitioners the importance of the joints of the Lower Extremities in the care of elderly people and ensuring that PAL is of prime importance.
PAL stands for prolongs active life and ambulation is perhaps the most important part of that.
My premise in teaching Podiatrists/Chiropdists Foot Mobilisation techniques via my system is that they are the obvious deliverers of good Foot function..
Excellent work by LER in bringing this topic to mine and the professions attention.
Thank you
Brian Joseph. DO,FHEA