By Mathias B. Forrester, BS
Background: There are millions of pet dogs in the United States (US), and thousands of people are treated at US hospital emergency departments (EDs) each year for dog leash-related injuries. The objective of this study was to describe dog leash-related injuries of the lower extremity treated at US hospital EDs.
Methods: An analysis was performed of dog leash-related injuries of the lower extremity using data from the National Electronic Injury Surveillance System (NEISS) of the US Consumer Product Safety Commission (CPSC) during 2000-2020.
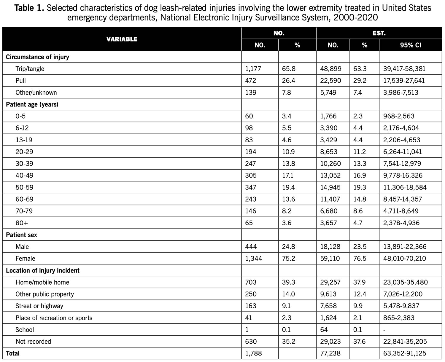
Results: A total of 1,788 dog leash-related injuries of the lower extremity treated at a sample of US hospital EDs was identified during 2000-2020, resulting in a national estimate of 77,238 such injuries. Of the estimated injuries, 63.3% involved a trip or tangle and 29.2% a pull. By three-year period, 4.8% of the injuries occurred during 2000-2002, increasing to 27.8% during 2018-2020. Patients age 40 years or older accounted for 64.4% of the injuries; 76.5% were female. The most common injuries were strain or sprain (34.8%) and fracture (24.1%). The most frequently affected body part was the knee (33.2%), ankle (30.6%), and lower leg (16.6%).
Conclusions: Dog leash-related injuries of the lower extremity most often resulted from a trip or tangle. The injuries increased during the 21-year study period. Patients with injuries tended to be older, and the majority of patients were female. Their injuries were most frequently a sprain or strain and most affected the knee.
According to the American Veterinary Medical Association (AVMA), by year-end 2016, there were reported to be 76.8 million pet dogs in the United States (US), and 38.4% of US households owned a dog.1 One of the most common causes of dog-related injury is dog bites. Dogs bite approximately 4.5 million people in the US annually,2 and during 2005-2013, an average of 337,000 visits to US hospital emergency departments (EDs) per year were for non-fatal dog bites.3
However, dogs can be a source of injury in ways other than bites. For instance, studies have described injuries due to dog-bicycle interactions (51% of which did not involve dog bites)4 and falls associated with dogs.5,6 Injuries may also occur due to dog leashes, while a person is walking a dog on a leash or other circumstances involving the leash.7,8 Thousands of dog leash-related injuries are treated at US hospital EDs each year, a portion of which affect the lower extremity.7 The objective of this study was to describe dog-leash related injuries of the lower extremity treated at US hospital EDs.
Methods
This study used data downloaded from the National Electronic Injury Surveillance System (NEISS) website at https://www.cpsc.gov/cgibin/NEISSQuery/home.aspx. The NEISS is operated by the US Consumer Product Safety Commission (CPSC). The NEISS collects data on consumer product-related injuries in the US from the EDs of a stratified random sample of 100 hospitals with 24-hour EDs and six or more beds selected from the more than 5,000 hospitals in the US. The random sample is stratified by hospital size, geographic location (so that all parts of the US are represented), and hospital type (general and pediatric hospitals). The hospital size is categorized based on the annual number of ED visits reported by each hospital and are divided into four strata: small, medium, large, or very large. A fifth stratum is designated for pediatric hospitals. The CPSC recruits hospitals selected by its random sampling criteria, and most hospitals agree to participate, as compensation is provided. If a hospital declines to participate, another hospital is selected from the same stratum and geographical location. Hospitals continue to participate in NEISS until a sample redesign reselects another stratified random sample. Sample redesigns take into consideration changes in hospital size, new hospitals, and hospitals that are no longer in operation.9-11
Professional NEISS coders view the medical charts at participating hospitals and, for patients with injuries that meet NEISS inclusion criteria, collect and code information such as treatment date; patient age, sex, and race; injury diagnosis and body part injured; discharge disposition; consumer product(s) involved in the injury; location where the incident occurred; and a brief narrative describing the incident. The NEISS Coding Manual indicates that most of the fields in the NEISS database are numeric codes, and if a variable, such as patient race, is unknown or not documented in the medical record, it is assigned a code to indicate this. The reporting of cases to NEISS is done electronically.9,11 Data are publicly available and de-identified; therefore, the study is exempt from institutional review board approval.
Cases were dog leash-related injuries of the lower extremity included in the NEISS database during 2000-2020. Although the NEISS database includes three numeric fields for coding the product involved in the injury (Product_1, Product_2, Product_3), there is no specific code for dog leashes. Code 1715 (Pet supplies) is not specific to dog leashes, and dog leash-related injuries may be assigned other product codes. Thus, in order to identify cases, the Narrative text field (a brief summary of the circumstances of the injury) of all records, including those not assigned product code 1715, was searched for any mention of the word “leash.” For the resulting subset of records, the narrative field was reviewed to determine whether the leash was described as a “dog leash” or a dog was otherwise mentioned. Records involving leashes for other types of animals or leashes not associated with a dog were excluded. Of the remaining records, those where the dog leash appeared to be directly involved in the injury were included in the study, whether or not the leash was attached to a dog, while records where the leash did not appear to be directly involved in the injury were excluded from the study. For instance, records that stated the patient tripped over a leash, whether or not the leash was attached to a dog, were included while records that stated the patient tripped over a dog that just happened to be on a leash were excluded. Cases were included in the study only if either the Body_Part or Body_Part_2 numeric fields containing codes for a lower extremity body part (upper leg, knee, lower leg, ankle, foot, toe).
The variables examined were the time of treatment (grouped by 3-year period), patient age and sex, circumstance of the injury, location where the injury incident occurred, patient disposition, type of injury, and body part affected.

No. = Number
Est. = Weighted estimate (sum of the Weight numeric field in the National Electronic Injury Surveillance System database). The numbers in the Weight field are not whole numbers but include decimals. As a result of rounding to whole numbers when performing analyses, the sum of the estimates for a given variable might not equal the total. The Consumer Product Safety Commission considers an estimate unstable and potentially unreliable when the number of records used is <20 or the estimate is <1,200.
95% CI = 95% confidence interval. Not calculated if the estimate is <1,200.
The method of the injury could be grouped into several broad categories:
Trip/tangle: The patient tripped over the leash or got caught or tangled in the leash.
Pull: The patient was holding onto the leash and was pulled (jerked, yanked, dragged, etc.) by the dog or was pulling the dog. Included were instances where any part of the patient’s upper extremity was reported to be caught or wrapped in the leash whether or not being pulled was mentioned.
Other/unknown: This includes all other circumstances (being hit by the leash, strangled by the leash, the leash breaking, etc.)
The Narrative field for each record was reviewed, and each record was assigned to 1 of these 3 categories. The NEISS Coding Manual indicates that the Diagnosis_2 and Body_Part_2 fields were added in 2018,10 although these fields do not appear to have been used until 2019.
Analyses were performed using Office Professional 2007 Access and Excel (Microsoft Corporation, Redmond, Washington, US). The distribution of cases and national injury estimates were determined for the variables. National injury estimates were calculated by summing the values in the Weight numeric field in the publicly available NEISS database, and 95% confidence intervals (CIs) were calculated for the estimates. The CPSC considers an estimate unstable and potentially unreliable when the number of records used is <20 or the estimate is <1,200.9 For those variable subgroups where the estimate was <1,200, 95% CIs were not calculated.
Results
A total of 1,788 dog leash-related injuries of the lower extremity treated at a sample of US hospital EDs was identified during 2000-2020, resulting in a national estimate of 77,238 (95% CI 63,352–91,125) such injuries, representing 18.0% of the total 429,256 estimated dog-leash related injuries of any body part.
Table 1 presents the distribution of the injuries by selected variables. Trips and tangles resulted in approximately 65% of the leash-related injuries while pulls resulted in almost 30% of the injuries. The number of injuries increased during the study period. The annual injury estimate was 889 in 2000, increasing to 6,257 in 2019 (a 422% increase) before declining 22% to 4,794 in 2020. The majority of patients were age 20 years or older with the highest proportion of injuries among the 50-59 year age group. Patients age 40 years and older accounted for 61.9% of the cases and 64.4% of the estimated injuries. Over 75% of the patients were female. Of those injuries where the location of the injury incident occurred was known, most occurred at home followed by other public property and a street or highway.
Table 2 shows the distribution of injuries by diagnosis, body part, and disposition. The most frequently reported diagnoses were strain or sprain, fracture, and contusion or abrasion. The most commonly affected body parts were the knee, ankle, and lower leg. The majority of patients were treated or examined at the hospital and released.

No. = Number
Est. = Weighted estimate (sum of the Weight numeric field in the National Electronic Injury Surveillance System database). The numbers in the Weight field are not whole numbers but include decimals. As a result of rounding to whole numbers when performing analyses, the sum of the estimates for a given variable might not equal the total. The Consumer Product Safety Commission considers an estimate unstable and potentially unreliable when the number of records used is <20 or the estimate is <1,200.
95% CI = 95% confidence interval. Not calculated if the estimate is <1,200.
Records during 2019-2020 can have two coded diagnoses and affected body parts.
Discussion
This study found that approximately 65% of dog leash-related injuries of the lower extremity treated at US hospital EDs were due to a trip or tangle with the leash while almost 30% were due to a pull. This pattern may be related to the mechanics involved in these circumstances of injury. A trip or tangle is likely to directly involve the lower extremity, and injuries may occur as the person falls or attempts to break their fall. In contrast, a pull typically occurs while the person is holding onto or attached to the dog leash with their hand or arm. As a result, their upper extremity may be more likely to be injured. Pull injuries might affect the lower extremity as the person tries to maintain control of the dog or is pulled off their feet or dragged by the dog.
Dog leash-related injuries of the lower extremity increased during 2000-2020 with over one-quarter of the injuries treated during the last 3 years of the study period (2018-2020). A previous study of fractures in elderly adults while walking leashed dogs reported the estimated number of injuries treated at hospital EDs increased from 1,671 in 2004 to 4,396 in 2017.8 The increasing trend in dog leash-related injuries of the upper extremity may partly be related to an increase in the number of pet dogs in the US. According to the AVMA, the rate of households owning dogs in the US increased from 36.1% in 2001 to 38.4% in 2016, and the estimated number of pet dogs increased from 72.1 million in 2006 to 76.8 million in 2016.1 However, the increase in the number of dogs cannot account for all of the increase in dog leash-related injuries of the lower extremity because the number of dog leash-related injuries in 2020 was over 4 times that in 2000. As a result of the health benefits of pet ownership, more people might be walking a new dog or more dogs with leashes or walking with dogs on leashes more often, leading to an increase in dog leash-related injuries.
The majority of lower extremity injuries involved adults, particularly those 40 years or older. In contrast, a study of nonfatal unintentional fall injuries associated with dogs reported only 37% of the patients to be 55 years or older.5 Because of the physical requirements for walking dogs on leashes, especially if the dogs are large, it might be more likely for adults to walk dogs, and thus more likely to be at risk of leash-related injuries.
The patients also were more likely to be female, accounting for over 75% of all injuries of the lower extremity. Other studies that examined dog-related injuries treated at hospital EDs likewise reported most patients to be female.5,8 It may be that females are more likely to walk dogs or more likely to suffer injuries while walking dogs.
Most dog leash-related injuries might be expected to occur while walking the dog. Thus, it might be expected that the majority of injuries of the lower extremity would occur away from home. However, the highest proportion of injuries with a known location occurred at home followed by other public property and a street or highway. The study of nonfatal unintentional fall injuries associated with dogs found 62% of the injuries occurred at home.5 That most of the injuries occurred at home may be due to the person being injured while setting out on or returning from a walk with the dog or while interacting with the dog at home or in their yard.
The most commonly reported injuries were strain or sprain followed by fracture and contusion or abrasion. In most instances, these types of injury might not be expected to require hospitalization. In fact, this study found that the majority of patients were treated or examined at the hospital ED and released. This is consistent with the study of nonfatal unintentional fall injuries associated with dogs treated at hospital EDs that reported 92% of the patients were treated and released from the ED.5
This study does not provide data on how to reduce or prevent dog leash-related injuries. However, other sources have provided suggestions. People can be informed that certain activities involving dog leashes may lead to injuries. Obedience training for dogs can be recommended to encourage appropriate leash behaviors (eg, training the dog to walk beside you, not in front) and reduce behaviors that may lead to leash injuries (eg, pulling on the leash or running around the walker). People can be advised not to wrap the leash around their fingers or hand, use shorter leashes, not walk the dog while riding a bicycle, scooter, etc., wear appropriate shoes, and pay attention to their surroundings.12-14
This study has limitations. Cases were identified by searching for “leash” in the NEISS Narrative field. Dog leash-related injuries where this term was not documented in the Narrative field would not be included in the investigation. In addition, the further selection of records to be included in the study and the sorting of them into the various circumstances of injury (trip or tangle, pull, other/unknown) was performed by a single person and based on the Narrative field, which contains a limited amount of information. Errors in the selection and classification of records may have resulted in records being included or excluded erroneously or misclassified. Only those dog leash-related injuries of the lower extremity treated at EDs were included in the study. The number of such injuries not seen at EDs is unknown. Also, since the NEISS database is a consumer product-related injuries database, there may be some skepticism regarding its utility for analysis of dog leash-related injuries. However, the NEISS database has been used to examine other dog-related injuries.4,8
In conclusion, the most common type of dog leash-related injuries of the lower extremity treated at US hospital EDs occurred due to a trip or tangle followed by a pull. The number of injuries increased during the time period studied. The majority of the persons who experienced such injuries were adults, particularly age 40 years or older, and most were female. The injuries most often occurred at home. The most common injuries were strains or sprains followed by fractures and contusions or abrasions and the most common affected body parts were the knee, ankle, and lower leg. Most patients were treated or examined and released from the ED.
Mathias B. Forrester, BS, is an independent researcher in Austin, Texas. Now retired, he previously performed public health research for various university and government programs for 34 years.
- American Veterinary Medical Association. AVMA Pet Ownership and Demographics Sourcebook. 2017-2018 Edition. American Veterinary Medical Association; Schamburg, Illinois, 2018.
- World Health Organization. Animal bites. February 5, 2018. Available at https://www.who.int/news-room/fact-sheets/detail/animal-bites. Accessed May 31, 2022.
- Loder RT. The demographics of dog bites in the United States. Heliyon. 2019;5(3):e01360.
- Loder RT, Yaacoub AP. Injuries to cyclists due to a dog-bicycle interaction. Vet Comp Orthop Traumatol. 2018;31(3):170-175.
- Stevens JA, Teh SL, Haileyesus T. Dogs and cats as environmental fall hazards. J Safety Res. 2010;41(1):69-73.
- Centers for Disease Control and Prevention. Nonfatal fall-related injuries associated with dogs and cats – United States, 2001-2006. MMWR Morb Mortal Wkly Rep. 2009;58(11):277-281.
- Forrester MB. Dog leash-related injuries treated at emergency departments. Am J Emerg Med. 2020;38(9):1782-1786.
- Pirruccio K, Yoon YM, Ahn J. Fractures in elderly Americans associated with walking leashed dogs. JAMA Surg. 2019;154(5):458-459.
- United States Consumer Product Safety Commission. National Electronic Injury Surveillance System (NEISS). Available at https://www.cpsc.gov/Research–Statistics/NEISS-Injury-Data/Explanation-Of-NEISS-Estimates-Obtained-Through-The-CPSC-Website. Accessed May 31, 2022.
- United States Consumer Product Safety Commission. NEISS Coding Manual. January 2021. Available at https://www.cpsc.gov/s3fs-public/January-2021-NT-CPSC-only-NEISS-Coding-Manual.pdf?xa_nMM1kB4SGpuSMOwf0NHkkkIqNcn8F. Accessed May 31, 2022.
- Huang G [Internet]. Improving the capture of poisonings in children and youth by the Canadian Hospital Injury Reporting and Prevention Program. July 28, 2011. Available at https://dspace.library.uvic.ca/bitstream/handle/1828/3812/Huang_Grace_MPA_2j011.pdf?sequence=1&isAllowed=y. Accessed May 31, 2022.
- Direct Orthopedic Care. Is Your Pet’s Leash Causing Your Should or Knee Pain? 3 Tips to Avoid Dog Walking Injuries! March 29, 2021. Available at https://www.directorthocare.com/is-your-pets-leash-causing-your-shoulder-or-knee-pain-3-tips-to-avoid-dog-walking-injuries/. Accessed May 31, 2022.
- BBC News. Surgeons warn of serious hand injuries from dog leads and collars. May 24, 2019. Available at https://www.bbc.com/news/health-48382570. Accessed May 31, 2022.
- Germany J. Preventing Dog Walking Injuries. Rush University Medical Center. . Available at https://www.rush.edu/health-wellness/discover-health/preventing-dog-walking-injuries. Accessed May 31, 2022.







