Dirty Truth: #6 Elastic to Plastic: Aging Is More Than a Biological Process–It’s a Mechanical One Too

Figure 1: Pressure Plots in bare feet, or even different models of shoes like those shown here, objectively characterize one example of degradation, a great toe bunion. As the toe undergoes lateral deviation and subluxation, the agonist soft tissue structures gain a competitive advantage and tighten down, while the antagonistic soft tissues stretch to lose their straight position.
By Jay Segel, DPM; Sally Crawford, MS

Figure 2: As 1 side of the body weakens or compensates, gait becomes uneven, leading to additional strain on certain joints and muscles. The butterfly diagram and multi-step averaging features, shown here, allow clinicians to assess whether these imbalances are consistent over time or sporadic, providing a more accurate picture of a person’s gait stability and potential risk.
We all know we will not live forever, but perhaps a good goal would be to not outlive your health. We also know that there are elements of our health we can control and those we can’t. Aging is a simple fact, though we often don’t consider it at the functional microscopic level. We can’t do much about the ending, but we have much to say and do about the journey, or the progression of aging. This dirty truth deals with the fallout from the cumulative effects of our past dirty truths as visited upon our soft tissue structures, which, in turn, leads to wear and tear.
Take, for instance, the stretching of a rubber band. New, out of the package, it expands and contracts; we call that property elasticity. As the material ages, it loses the ability to expand and contract to the degree it once did. We might call that loss, aging, or fatigue. Eventually, the integrity of the “rubber” material is rendered unusable and will break if pushed. It’s useful to think of this vulnerability to breakage as plasticity, the property of a material going through a permanent, or non-reversible, change in shape. This is what use and/or injury does to our ligaments, which are in a constant state of degradation. (Figure 1)
Computer Aided Gait Assistance (CAGA) tools help identify where excessive force or underloading occurs. For example, the midfoot area may begin to show signs of excessive pressure due to altered posture, possibly from weakened muscles or joint stiffness. Similarly, forefoot pressure might increase as a result of compensation or reduced mobility in the heel or ankle. This overall CAGA data, especially when analyzed over multiple steps, helps reveal patterns that might not be evident from a single stride but are crucial for understanding how soft tissue structures respond to the aging process. (Figure 2)

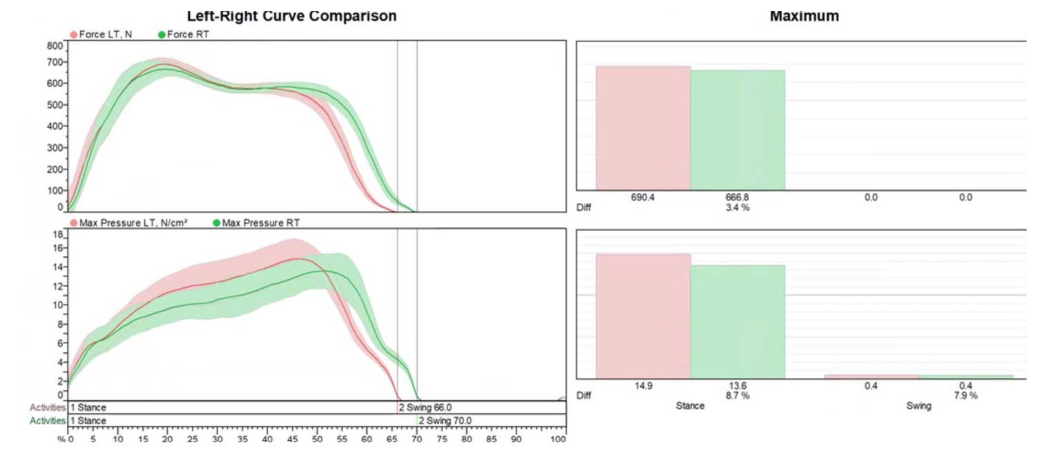
Figure 3: Consistency in force, pressure, and timing data across 45 steps, normalized to 100% gait cycle, reveal underlying imbalances and inefficiencies that might otherwise go unnoticed.
Another critical metric to help characterize the repetitive nature of impacts is the force-time curve, which measures the total force exerted by the foot during each step, as well as how that force is distributed over time. (Figure 3) Aging often leads to changes in the peak force generated during gait and alterations in how long the foot stays in contact with the ground. For example, a less efficient push-off, common in aging adults, might result in a smaller peak force and longer ground contact time, signaling a decrease in propulsion efficiency. (Figure 3) These changes, when tracked over time, offer valuable insights into how the body compensates for age-related declines in strength, flexibility, or joint integrity.
Repetitive impact, as it relates to gait, is a linear equation. Swing step leads to impact, which is a collision causing a ground force reaction that deforms the foot structure, whose breakdown results in tissue fatigue, asymmetry, wear, heat, inflammation, trauma, scarring, degenerative joint disease, and eventual system breakdown. Repetitive impact devolves to repetitive trauma, which is next up on our “Dirty Truths” playlist.







Very good analogy!